摘要:对恶劣条件下的液位测量技术进行了研究,提出一种应用比较脉冲法的红外脉冲雷达测量方法,能实现低成本、高精度的液位测量.
1引言
在工业生产过程中,液位的实时、在线监测一直是国内外计量行业的难题首先,由于某些现场环境恶劣,防爆要求极其严格,要求各种测量过程中尽量做到电不入罐,这就使多种仪表及传感器的应周受到限制.其次,各种测量仪器的性价比值也是一个重要的影响因素.从目前应用情况来看,超声波探测式液位计能够实现非接触式在线测量,但存在一次仪表带电问题,应用范围非常有限;钢带浮子式液位计采用了防爆措施,但一次仪表带电问题仍没有解决,存在着火灾危险,且属于接触式测量,不适用于在线检测;雷达液位计采用非接触式测量,成功解决了一次仪表带电问题,并且适用于在线实时检测,但高昂的价格使用户望而止步.由于以上种种原因,目前国内许多地方还采用比较落后的方法进行液位测量,精度低、灵敏度低,工作强度大,远远达不到液位测量的实际要求,当前急需研究一种高精度、稳定性好、安全防烯的液位在线实时检测技术.
我们将红外测量技术和脉冲比较方法相结合,提出了一种应用脉冲比较法的红外脉冲雷达液位计设计方案,可实现性价比较高的液位测量.
2红外脉冲测量系统

用于液位检测的红外脉冲雷达结构如图1所示.
该测量系统包括安装于罐顶的红外脉冲雷达,和位于油区外测量控制室的脉冲发射、脉冲接收、信号处理、控制单片机、数据处理和显示等二次仪表两个部分组成.本测量系统的的测量原理是脉冲式雷达测距原理,红外脉冲雷达包含由红外信号发射和接收部分.红外脉冲雷达向液面发射光脉冲,并接收自液面反射的光脉冲信号进行光电转换,传输到二次仪表部分.采用这种测量方式,具有很高的安全防爆性能,并且该系统的抗干扰能力强,安装维修方便,容易实现微机遥测联网,这更有利于大型油库的罐群计量和管理.
本系统的二次仪表电学部分采用测脉冲个数的计数比较方式,仅依靠测量从液面反射回来的光信号个数就能得到液位的信息.
3测量原理
3.1系统罐内部分测量原理图
本系统采用光学非接触式动态测量原理,其罐内部分示意如图2.

图2 光学非接触式动态测量原理图
信号发生器产生频率一定的方波信号,并有两路输出.1路作为参考脉冲送往信号处理部分,2路作为测量脉冲,经开关电路后作为发生信号触发发射二极管向被测液面发射红外脉冲信号.接收二极管接收到信号后,有三路输出.5路作为开关电路控制信号,控制开关电路的关闭与开启;4路作为发射二极管的控制信号;另外3路作为测量脉冲信号送往信号处理部分.
3.2公式推导
设开始测量的时刻为时间零点,可以认为参考脉冲和测量脉冲在时间零点发生第一次周期重叠.当二次仪表检测到参考脉冲和测量脉冲发生第二次周期重合,用计数器分别可以记录参考脉冲和测量脉冲的个数(各记为m,2),设此时的时刻为t,并设参考脉冲的的周期为h,测量脉冲的周期为T2.
由测量原理有以下公式:

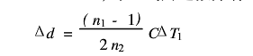
其中d为待测距离,C为光的传播速度.
从上面公式分析可以知道测量系统中参数对测量精度的影响,对上式两边微分有:

可以看出△d越小,测量精度越高,可以看出精度与测量脉冲的周期成反比,与测量脉冲的频率成正比.要想提高系统的测量精度,提高测量脉冲的频率是一个主要途径.在实际测量过程中,还可以采用重复测量来减少误差,提高测量精度.
4红外雷达液位计的主要技术参数
测量范围:0-30m(可根据用户的需要进行调整);
被测介质形态:液态物体;
测量精度:1mm;
参考脉冲工作频率:1M(可按照用户的需要调整);
被测介质温度范围:-20~+150℃;
工作环境温度:-20~60℃;
工作电压:10-12v
5结束语
本文对脉冲式激光雷达测距原理在油罐液位的光学非接触测量进行了研究.采用脉冲计数方式,测量过程和原理都很简单,极大简化了系统的结构;脉冲式雷达可以采用峰值较高的脉冲式发光二极管,在被测液体反射率很低的情况下也可以工作,提高了液位计的使用范围;测量中采用光脉冲作为信息载体,具有很好的安全防爆性能.
试验结果表明,该测量方法是一种适合于在恶劣环境中工作,有很好的稳定性、精度较高、成本低的的好方法.
本文地址:http://www.shyoufu.cn/hyzx/347.html
-
有智能分层视镜的资料吗
-
我司需上一批智能分层视镜,请回电/先短信通知
-
能举例说明如何校验绝对压力变送器有吗?
量程 0~1000mbar ABS 如何校验?
欢迎致电我司技术
-
SFSD20有具体尺寸吗
与SFSD23尺寸一致,只是接头不同。
-
怎么选流量计呢,需要知道哪些参数
流量计的选型,需要知道测量的介质、温度、压力以及安装方式,然后就知道使用哪种流量计比较合理了。
-
电磁流量计为什么不可以测量不导电的介质呢?
电磁流量计是根据法拉第电磁感应定律进行流量测量的流量计,通过切割磁力线来测量液体的流量的。
-
由于氧化的柴油粘污在玻璃面板上,导致无法看清液位,应该怎么办
您好!已转技术联系您。